污水廠生物池的氨氮檢測與DO控制
大部分市政污水廠均采用成本最低廉的自然界微生物作為污水處理的核心,自然界的微生物對污染物質采取不同方式的降解,其中對有機物的降解主要依靠好氧微生物在氧氣充足的情況下完成,還有就是生物脫氮的硝化過程和生物除磷的過量吸附磷的過程,需要在好氧的環境中進行。針對這些污染物質的去除的不同種類的微生物都有一個共同的需求,就是在氧氣充足的環境下進行。因此在污水廠中,保證充足的氧氣供給是出水水質穩定的必要因素。
在傳統的活性污泥法的管控上,通過大量的曝氣,基本能夠保持活性污泥處理有機物所需的氧氣,而且為了應對污水廠進水水質的變化,一般污水廠都會采用過量曝氣的方式來消除進水水質的變化。但是過量曝氣也帶來一系列的問題:高能耗、脫氮除磷的缺氧厭氧環境難以保持、污泥老化嚴重等。隨著各地的水環境進一步惡化,各級主管部門對污水廠的排放指標提出了更嚴格的要求,特別是氮磷指標的強化,使污水廠的運行管控必須從原有的不加控制過量曝氣轉變為精準控制的曝氣。
多數污水廠的曝氣控制仍然沿用出口的DO指標值作為控制指標,利用DO作為鼓風機調整的依據。但是DO作為一個過程控制參數和最終的出水指標之間仍有不同,僅僅依靠DO的單一控制往往無法有效的保證出水水質的穩定。
微生物對生物曝氣池內的溶解氧的需求來說,首先滿足的有機物去除所需的氧氣,其次是硝化細菌硝化氨氮所需的氧氣,兩者在氧氣的利用速率上有先后之分,硝化速率慢,一般會在有機物氧化后期再利用氧氣,因此當硝化作用的氧氣利用結束后,曝氣池內提供的氧氣就成為富裕的氧氣了,如果通過檢測生物曝氣池內的氨氮,就能得出曝氣量的充足與否,從而更好的控制DO,這種通過檢測氨氮來進行DO的控制的方式稱為ABAC(Ammonia-Based Aeration Control)基于氨氮的曝氣控制系統。
采用ABAC的系統首先是依賴于在線氨氮的檢測,現階段多數污水廠仍在采用化學分析方法進行氨氮檢測,氨氮的在線探頭檢測技術已經逐步開展,通過浸入水中探頭實時監測水中的氨氮,為ABAC系統的使用提供了基礎條件。污水廠原有的氨氮控制多數基于出水水質的監測,由于出水和主要氨氮的降解的生物池之間還有深度處理流程,污水通過這個流程會需要一段時間,因此在出水檢測氨氮出現波動后,再去調整生物池狀態往往已經滯后了,因此為了消除這種滯后帶來的風險,運行人員需要將氨氮控制的比指標控制值更低,預留更多的緩沖空間,采用了在線氨氮的檢測探頭后,可以將氨氮檢測提前到反應去進行,這樣就能夠實現實時調控的方式。通過實施調控,也可以精準的控制曝氣,減少污水廠的能耗。
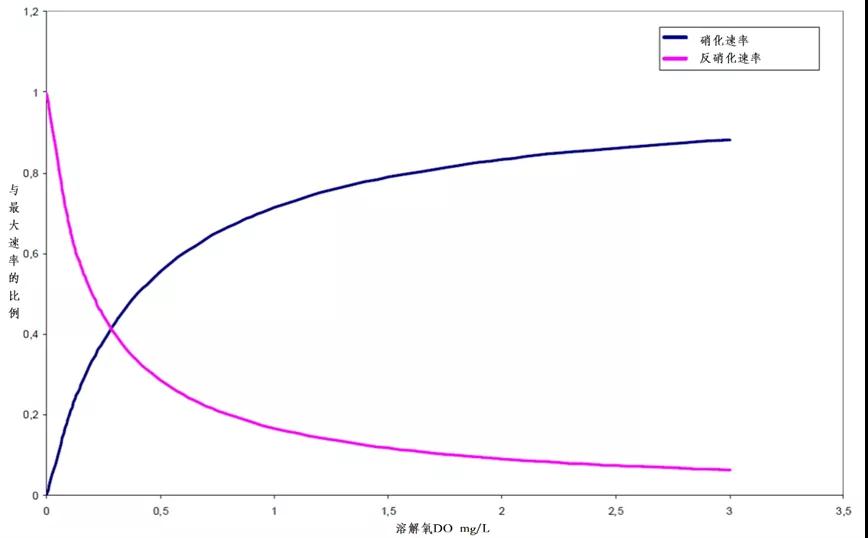
在生物的曝氣反應池內設置氨氮檢測探頭以后,一般可以設置在曝氣池的進口和中段位置,通過探頭的檢測來判斷曝氣池內的溶解氧提供的是否富裕,根據研究表明,富裕的溶解氧對硝化作用不再有明顯促進作用,反而會嚴重抑制反硝化的反應,具體如下圖所示:

從圖中可以看到硝化速率在溶解氧到達1~1.5mg/L之間時,變化趨緩,而反硝化速率在溶解氧0~0.5mg/L之間急速下降,因此合理的控制溶解氧對生物脫氮反應是至關重要的。采用ABAC的控制方式,將傳統的好氧池末端DO指標值與好氧池前段和中段的氨氮在線值結合起來,通過前端反饋的氨氮數值,末端的氨氮反饋信號,和設定的臨界值作為參考數值,進入到DO的控制PLC內,計算所需的DO值,并與好氧區檢測的溶解氧數值進行比較,得出是否需要進行曝氣風機的調控指令。通過增加的氨氮探頭完成了ABAC系統的精準曝氣的控制。

ABAC系統在曝氣池的DO控制中的優勢是非常明顯的,通過合理的調控曝氣風量,降低系統的能耗,有資料表明通過采用ABAC系統的曝氣池可以降低9~15%的風機能耗;合理的溶解氧保證了后續的反硝化反應的缺氧和生物釋磷的厭氧環境的營造,為微生物更徹底的進行污染物去除提供了良好的條件;通過ABAC系統的使用可以降低過度曝氣,消弱活性污泥老化的趨勢,保持良好的活性污泥工況。
基于ABAC的控制理念,在國外的一些使用ABAC系統的污水廠,通過至少一整年的過程數據分析,同時在污水廠監測水廠的能源消耗,通過進水污染物的負荷以及氧的利用率來衡量ABAC系統的使用情況后,ABAC 系統展示了大約 9% 的能耗節省,構成 ABAC 系統的系統和設備能夠準確地根據進入的氨氮負荷設置鼓風機的風量控制系統,從而確定適當的 DO 水平,最終而達到相應的通過控制空氣供應來控制曝氣池中的溶解氧濃度,在操作人員不斷地對ABAC系統的認知水平的提升,更大的能耗節省也在不斷地實現中。
隨著對污水廠的能耗的加強控制,采用更為合理的控制體系,才能在保證出水的前提下實現節能降耗運行。
以上是小編收集整理的污水廠生物池的氨氮檢測與DO控制部分內容來自網絡,如有侵權請聯系刪除:153045535@qq.com;
本文地址:http://www.lxstny.com/shuichuli/710.html










