探討:海綿城市雨水滲井系統建設關鍵問題
雨水滲井是我國古代城鎮曾經通用的排水技術之一,在當代新型城市雨洪管理理念革新背景下有了新的發展與應用需求。針對傳統雨水滲井設計缺乏系統定量分析、粗獷建設等問題,系統梳理國家海綿城市建設經驗,結合理論研究與工程實踐,圍繞雨水滲井選型、規模計算、結構與填料設計、預處理設計及施工等環節總結探討,提出改進建設思路、加強跨學科研究的建議。
雨水滲井作為我國海綿城市建設“滲、滯、蓄、凈、用、排”技術體系中專用滲透類雨水設施,可實現匯水區雨水速滲,有效削減徑流總量與峰值,緩解排水壓力,涵養地下水源,在豎向改造難度大的城市低洼區或管網不健全、排水無出路地區具有重要工程應用價值。2014年,住建部頒布《海綿城市建設技術指南——低影響開發雨水系統構建》,闡述了雨水滲井概念及典型構造,但對不同應用場景下雨水滲井系統設計、施工缺少具體方法指引,國家層面暫無專門規范借鑒,各地建設缺乏標準,質量參差不齊。目前,一些地區主要參照河床取水滲井、公路排水滲井、工程降(排)水井等專利、文獻資料設計建造,對雨水滲井在排水防澇體系中作用、徑流調控機制與滲井結構關系缺乏系統研究。傳統滲井大多利用天然河砂、碎石、建筑垃圾骨料等作填料,強調“水量速滲”,忽視“水質污染風險控制”,同樣缺乏深入探究。為此,筆者通過國家海綿城市試點建設調研,總結團隊實踐研究成果,圍繞雨水滲井分類選型、規模計算、結構與填料設計、施工方法等進行探討,旨為適宜地區雨水滲井建設提供經驗參考。
1 雨水滲井分類及適用場景
Rainwater seepage well
系統梳理我國各地雨水滲井建造形式,按其屬性特征可分為:
結構與滲流方式:垂直入滲式、輻射滲透式、滲排一體式(見圖1);
井體材料:磚(石)砌式、鋼筋混凝土式、塑料式、硅砂混凝土式、鋼波紋管式、玻璃鋼管式等;
填料類型:砂石滲井、建筑再生骨料滲井、人工改性填料滲井;
布設形式:單井式、井群式。各類滲井技術特性及適用條件如圖1所示。

圖1 雨水滲井典型結構與滲流方式
工程設計中,雨水滲井徑流調控作用會因其所處排水防澇體系位置的不同而異。筆者從海綿城市“源頭減排-過程控制-系統治理”三段式雨水系統構建角度出發,將雨水滲井劃分為:源頭減排滲井、過程控制滲井和終端消納滲井(見圖2)。源頭減排滲井適用于小區、廣場等產匯流源頭地塊下墊面徑流削減;過程控制滲井主要用于排水區市政雨水管網轉輸流量的中途削峰,減輕下游管網排水壓力;終端消納滲井則用于排水系統末端雨水集中削減。

雨水滲井設計選型時,應根據其系統功能定位、匯水區特征(降雨特征、匯水面積、下墊面污染水平)、擬建場地工程地質(穩定性、承載力)、水文地質(地下水埋深、土壤滲透性)及周邊建構筑物基礎埋設條件等,由圖3經技術經濟比較確定。工程選址時注意:
擬建場地及匯水區內不得有有毒有害物質生產、儲存與堆放場所;
地下水源井周邊30 m范圍不得建設雨水滲井,范圍外選址時應避開補給區并評估污染風險;
擬建場地適宜性評價應結合工程地質資料,分析地層穩定性、承載力,同時進行水文地質勘察,分層(分段)開展注水試驗 ,評判地下水以上土體滲透性;
雨水滲井設置于建筑小區時,距離建筑物基礎水平距離應≥5m;
應用于存在徑流污染、設施底部距離季節性最高地下水位<1.5m或距離建(構)筑物基礎水平距離<5m區域時,應采取預凈化、防滲等措施防止污染及次生災害;
濕陷性黃土場地滲井建設應經專門論證;濕陷等級低、土層薄的非自重濕陷場地,可考慮貫穿式滲井結構;
地下水位過高且徑流污染嚴重、地下水保護嚴格地區,易坍塌、滑坡等不良地質區,高等級、大厚度自重濕陷性黃土區,土壤滲透性嚴重不良且開挖處理成本過高地區不適合建設。

圖3 雨水滲井分類及適用場景
2 系統設計
Rainwater seepage well
2.1 規模計算
2.1.1 設計進水量
目前,雨水滲井設計進水量(Vc)算法較多,易出現未考慮其排水系統中功能定位,混淆使用,導致規模偏大/小的情形。筆者建議分3種情況:
(1)用于雨水源頭減排目標時,宜按式(1)計算:

式中 Vc1——設計進水量,m3;
H——場地年徑流總量控制率對應設計降雨量,mm;
φc——匯水區綜合雨量徑流系數;
F——雨水滲井匯水面積(含自身),hm2。
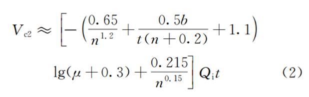
(2)用于雨水峰值(管道洪峰流量)削減目標時,可按式(2)估算:

式中 Vc2——設計進水量(調節削減水量),m3;
μ——脫過系數,雨水滲井下游出水管道設計流量與上游進水管道設計流量之比;
Qi——雨水滲井上游管道設計流量,m3/min;
b、n——當地暴雨強度公式參數;
t——降雨歷時,min。
(3)用于項目/區域雨水終端消納時,可按項目/區域室外排水設計重現期對應暴雨強度計算,見式(3):

式中 Vc3——設計進水量,m3;
A1、C——當地暴雨強度公式參數;
P——室外排水設計重現期;
ψc——匯水區綜合流量徑流系數;
tc——設計降雨歷時,min,一般≤120min。
2.1.2 設計滲透量
設計時,忽略雨水非飽和—飽和入滲變化過程及其各向異性,基于達西定律計算見式(4):

式中 Wi——滲井滲透量,m3;
δ——安全系數,宜取0.5~0.8,匯水區下墊面易積淀泥沙、塵土時,取低值,較潔凈時,取高值;
K——滲透土層飽和滲透系數,m/s;
J——水力坡度,一般取1;
A——滲井有效滲透面積,水平滲透面按投影面積算,豎直滲透面按1/2設計水位高度計算,m2;
ti——入滲歷時,min。
式(4)中,K應以現場注水試驗確定。勘察時,實測滲井底部及周邊土壤滲透速率應≥5×10-6m/s,宜在6×10-5~6×10-4m/s(中粗砂滲透系數區),不宜超過1×10-3m/s(無足夠停留時間凈化)。對于地下水以上可滲透成層土(飽和含水),其等效滲透系數可按式(5)計算:

式中 Ke——滲透土層等效滲透系數,m/s;
hp——滲透土層上方蓄水深度,m;
hj——土層j厚度,m;
kj——土層j滲透系數,m/s。
式(4)中,ti取值分兩種情形:①匯水面徑流通過滲井快速下滲且不允許周邊積水時,應按當地多年平均降雨歷時取值,一般取2~3 h;②匯水面徑流量大且允許滲井周邊存在積蓄滯區,雨后一定時間完成排空時,可取12~48 h。
2.1.3 設計儲存容積及有效滲透面積
(1)雨水滲井頂部設有蓄水空間時,其有效儲存容積可按式(6)、式(7)計算:

(2)滲井頂部不設滯蓄空間或很小時:Vt=0,其有效儲存容積Vs等于填料孔隙儲水容積,有效滲透面積按忽略Vs后的式(8)計算。

根據進水流量與土壤滲透速率校核Vs、A,結合滲透土層埋深、進出水管標高、填料厚度與孔隙率分配滲井頂部和填料內部蓄水容積;結合滲井結構及貫入滲透土層深度,分配有效滲透面積,垂直入滲井按井底滲透面積疊加井壁開孔面積分配,輻射滲透井按井底滲透面積疊加水平滲透管開孔面積分配。開孔孔徑、開孔率還應經結構專業校核。
2.2 結構與填料設計
2.2.1 結構與材料
根據上述計算初步確定雨水滲井內徑及深度,井壁結構與材質應考慮擬建場地地質,經結構演算確定。一般情況下,源頭減排滲井多采用垂直入滲或輻射滲透式,過程控制與終端消納滲井采用滲排一體或垂直入滲式。輻射滲透式滲井多采用磚砌,滲排一體式滲井多采用塑料成品井,垂直入滲式滲井可采用磚砌、鋼筋混凝土、鋼波紋管或玻璃鋼管等形式。磚砌式滲井要求地基承載力穩定、不易沉降,結構抗剪性能可承受側壁土壓(無配筋磚砌體結構抗側壁土壓力弱,工程實踐中,井體上部易擾動土層可結合放坡,設計成倒梯臺“”結構),井壁厚度≥240 mm,結構深度宜≤6 m,不適用于軟土、高地下水位等地區。磚砌輻射滲井(見圖2b)輻射滲透管敷設坡度宜≥2%,扇形布置,4~8根/層,管長根據排水量確定,管徑宜≥150 mm,開孔孔徑宜為8~12 mm,采用PE、PVC-U等塑料管材時,開孔率宜為1.5%~3%。滲透管外圍可填充1.5~2倍管徑厚度的礫/碎石層(粒徑>開孔孔徑),并用透水土工布包裹。
鋼筋混凝土滲井抗壓強度高、抗浮性強、耐久性好、自重大,深度適用廣(幾米至幾十米),井徑、井壁厚度應滿足下沉深度、強度、剛度及穩定性(抗滑、抗浮、抗傾)要求,符合《水工混凝土結構設計規范》(SL 191)規定。團隊運用ABAQUS軟件,模擬不同工況下(不同井徑、壁厚、埋深、開孔率)應力場,推求結構最大拉力值,依據《混凝土結構設計規范》(GB 50010)配筋計算,獲取保證鋼筋混凝土滲井安全的參數值。鋼筋混凝土垂直滲井(見圖2a)井底與井壁開孔區宜填充碎石滲透層,滲透層高度與開孔區高度一致,外包透水土工布或整體設為級配反濾結構。
塑料滲井多采用PE或PP成品井,自重輕,占地小,抗浮性弱,井徑一般≤1.5m,結構深度≤7m,井壁采用實壁或帶肋結構,壁厚、材料性能應符合《市政排水用塑料檢查井》(CJ/T 326)規定,開孔后井筒環剛度應滿足抗側壁土壓要求。滲排一體式塑料滲井(圖2c)井內應設0.3m沉沙室,井間距≤150倍滲管管徑,滲管管徑、敷設坡度(宜1%~2%)應滿足雨水排放流量要求。
除以上典型結構外,近年來,鋼波紋管、硅砂混凝土等材料也被用于雨水滲井建造。鋼波紋管滲井采用熱軋鋼板波形鋼片拼接而成,井徑、井深適用廣,適應地基變形能力強,自重小,可用于軟土、膨脹土區域。硅砂混凝土滲井采用具有透水功能(透水系數≥2.5×10-4m/s)的硅砂砌塊砌筑而成,無須結構開孔,適用于小區、公園等徑流水質良好(低濁)地區的小深度滲井,材料性能及強度等應符合《硅砂雨水利用工程技術規程》(CECS 381)規定,寒冷地區應用時須滿足抗凍要求。
此外,實踐還應考慮場地空間、工期(磚砌式、現澆鋼筋混凝土式>預制鋼筋混凝土式、鋼波紋管式>塑料式)、造價(鋼筋混凝土式>磚砌式>鋼波紋管式>塑料式)、使用壽命等因素,綜合比選后確定結構方案。團隊在上述結構基礎上,集成相關技術優點,提出一種組合式雨水滲井結構(見圖4)。
該結構由上端濾料池(集中凈化區)與下部泄水管組合而成。濾料池設計采用鋼筋混凝土或鋼波紋管,池底向泄水管方向找坡;泄水管根據泄水量要求布設單根或多根,采用玻璃鋼管、鋼波紋管等套接下沉。泄水管壁厚滿足抗側向土壓要求,穿越滲透不良土層或濕陷性黃土層時,側壁不開孔,貫入砂層部分開孔。該結構采用“小深度,同管徑;大深度,分段變換管徑(上大下小)”的結構力學穩態設計,有利于不同埋深、材質滲井性能互補發揮,減少結構耗材及開挖成本,節省投資。凈化與滲排分體式設計也便于后期堵塞、污染后集中維護,降低運維成本。目前已在西咸新區多個海綿型建筑小區推廣應用。

2.2.2 填料
填料是雨水滲井設計又一關鍵,既要滿足速滲,又須規避地下水污染。設計時,應根據進水水質、水量、排空時間、包氣帶深度及地下水保護目標等綜合確定填料厚度、類型、粒徑組成等參數。
雨水滲井填料厚度(hf)理論最大值為整個井深(即地表至滲井底以上包氣帶深度,井底貫入滲透土層深度應≥側壁滲透區高度)。設計時,考慮到相鄰場次降雨排空要求,填料厚度應滿足式(9):

雨水速滲同時可能引發地下水污染,因此,填料厚度須滿足污染凈化需要。現行《建筑與小區雨水控制與利用技術規范》規定“井底滲透面距地下水位距離不應小于1.5m”,是基于填料與滲透土層協同凈化考慮,未考慮匯水區污染類型及水平。因此應盡量讓污染集中于填料區,減少向地下水上方滲透土層遷移(污染修復代價大)。為此,可通過進水目標污染物濃度與地下水水質限值要求,確定滲井水質控制最小填料厚度hf-min。鑒于徑流污染特征及填料多樣性,建議用以下方式確定hf-min:
采用等溫吸附實驗確定目標污染物飽和吸附量,通過設計進水流量、使用年限等確定填料對目標污染物吸附能力基準,結合吸附量實測值與基準值估算填料厚度;
搭建不同填料厚度土工模型,通過實際雨水或模擬配水試驗確定不同填料厚度徑流污染削減效率,推算達到凈化目標填料厚度;
搭建固定填料厚度土工模型,用實際雨水或模擬配水試驗確定污染削減效率,建立HYDRUS等模型,模擬確定最優厚度。
綜上,確定滲井填料厚度hf∈[hf-min,hf-max)。
徑流污染削減效果還與填料類型、粒徑及滲透速率有關。傳統速滲為主的雨水滲井,填料多采用粗粒徑、單一組分礫石或建筑骨料。匯水區存在污染、地下水保護嚴格時,筆者建議采用中粗砂填料或改良填料(基本填料+改良劑)。基本填料宜以中砂(0.35~0.50mm)、粗砂(0.50~2mm)為主,改良劑選用強吸附性材料,根據滲井進水污染特征確定。團隊通過分析海綿鐵、高爐渣、沸石等改良劑特性,采用混合填料濾柱試驗,比較不同進水流量(0.5a、1a、2a 重現期,歷時90min,匯流比1∶150)、不同進水污染濃度(見表1)等9種工況下,基本填料與改良劑摻混比例(見表2)、改良劑類型對滲井滲透性能及凈污效果的影響。

表2 雨水滲井填料配比(體積比)方案

結果(見圖5)表明:
添加海綿鐵可顯著提高TP、NO-3-N、Zn去除,添加活化沸石可提高NH3-N去除,添加高爐渣可提高NH3-N、Cu去除;
試驗條件下,體積比 90%基本填料+5%高爐渣+5%沸石對COD削減效果最好,90%基本填料+10%海綿鐵對NO-3-N、TP削減效果最好,90%基本填料+10%沸石或90%基本填料+5%高爐渣+5%沸石對NH3-N、TN削減效果較好,90%基本填料+5%海綿鐵+5%高爐渣對Cu、Zn、Cd削減效果最好;
改良劑添加比例由10%增至30%~45%時,反應原料、吸附點位、陽離子交換量增加,但同時提高了混合填料滲透速率,徑流污染接觸反應時間縮短,綜合削減率提升不大且原材料成本增加。

實踐中,匯水區徑流污染輕(如小區、公園),滲井以速滲為主時,基本填料宜選0.50~2 mm粗砂,改良劑可選粒徑較大的火山石、陶粒、高爐渣等以5%~10%體積比摻混;徑流污染較重,滲井兼具速滲和凈污功能時,宜選0.35~0.5mm中砂做基本填料,同時宜選粒徑小、凈化能力強的海綿鐵、活化沸石、麥飯石等材料以10%~20%體積比摻混,結合填料厚度設計實現系統目標。
2.3 附屬設施設計
2.3.1 預處理設施
上述試驗為評價不同配比填料凈污效能,采用了較高配水濃度(較長雨前干燥期才出現的負荷)。實踐中,徑流污染較重時,不宜由滲井承擔全部污染削減,而是通過前端預處理設施控制進水水質,降低填料堵塞污染頻率及運維成本。
雨水滲井預處理工藝可分為灰色和綠色兩類。城市徑流可生化性差,一般不適合生化法處理。傳統灰色工藝主要采取攔污沉淀、棄流、過濾等單一或組合方式,根據進水水量水質、處理目的及場地空間確定(見圖6)。攔污一般采用格柵、截污掛籃等設施,攔截樹葉、垃圾,沉淀泥沙。棄流主要采用容積法、水流切換法等對存在初期沖刷、污染負荷較高的早期徑流予以棄除,常用雨落管棄流、液位式/雨量式自控棄流設施,棄流量根據匯水面實測COD、SS等污染物濃度確定,無資料時,屋面、地面分別采用2~3 mm、3~5 mm厚度棄流。成品棄流設施規格、構造及自控等技術參數根據處理量、維護要求與廠家共同確認。經攔污、棄流處理后,可結合雨水回用設置過濾設施進一步降低污染負荷,常見有精密濾網過濾或簡易介質過濾。在此,需特別強調的是雨水滲井本身也是處理設施,應權衡其建設使用與預處理設施投入關系,不宜照搬傳統混凝沉淀、濾池過濾、膜濾等工藝,增加建設運維成本同時,也因過度處理失去滲井建設意義。實踐中,應結合匯水區污染特征、填料凈化能力、出水水質及地下水環境容量,設定滲井進水水質控制目標,由預處理設施分擔匯水區與滲井進水端污染負荷差值,以此確定預處理工藝及設施規模。


設計時,根據滲井匯水區下墊面性質、豎向,結合子匯水區劃分,合理布置綠色雨水設施,綜合測算綠色雨水設施系統對匯水區徑流污染削減程度。根據滲井進水水質控制目標,結合匯水區基底徑流污染特征,優化確定綠色雨水預處理設施規模。
實踐中也可采取初期棄流/沉淀+生物滯留等灰-綠設施結合方式實現系統預處理目標。須強調的是,預處理并非萬能,醫院、垃圾場站等傳染性疾病、嚴重化學污染場所不得設置雨水滲井。
2.3.2 其他附屬設施
除預處理設施外,雨水滲井附屬設施還包括溢流口/管/通道、爬梯、檢修孔、防墜落裝置、警示標志等。
①過程控制滲井(削峰調節)應設溢流通道與下游管網銜接;源頭減排與終端消納滲井按需設置溢流口。溢流口/管/通道過流能力不應低于設計最大進水流量;溢流標高應根據滲井調節容積、下游管網/河道水位標高等確定,溢流口/管處應設置濾網以防堵塞。
②滲井頂部蓄水深度>1m時,應設置踏步或爬梯(可參考97S501、02S515、14S501等國家標準圖集設計),以便檢修養護;有頂蓋的滲井應設檢修孔(可參考05S804國家標準圖集設計)。
③為防止非工作人員或動物墜入,大深度滲井周邊應設置防護網、井口防墜網及警示標志。
3 系統施工
Rainwater seepage well
粗獷施工是導致雨水滲井功能低下重要因素。雨水滲井施工時,應根據滲井結構、材質、埋深、土壤地質等,選用明挖法或沉井法。一般情況下,深度<10m,無不良地質,土層穩定的開闊場地,可采用明挖法;大深度滲井宜用沉井法。磚砌滲井、塑料滲井、鋼筋混凝土滲井等可采用明挖法,預制鋼筋混凝土、玻璃鋼管、鋼波紋管等成品井可采用沉井法(參照《沉井與氣壓沉箱施工規范》(GB/T 51130)。
總結傳統雨水滲井施工中質量通病和易忽視細節,強調:
(1)土方開挖與地基處理:應根據土質、地下水位、井室斷面、荷載條件等制定基坑支護方案;機械開挖不得擾動井底原狀地基土,預留200~300mm土層由人工開挖至設計高程整平;驗槽時,應采用雙環法或單環法復測土基滲透系數;根據設計設置中粗砂或碎石墊層,嚴禁使用灰土等不透水墊層;開挖時,井邊預留填充滲透層位置。
(2)主井施工:
①磚砌式滲井:應符合《砌體工程施工質量驗收規范》(GB 50203)規定;輻射管與主井同步施工且隨砌隨安裝;輻射管兩側礫石層對稱鋪設,避免管道產生位移;井室四周應分層對稱回填,每層≤300mm,采用人工回填、夯實,嚴禁使用機械推土滾壓。
②鋼筋混凝土滲井:應符合《混凝土結構工程施工質量驗收規范》(GB 50204)規定;現澆結構應分層澆圈、連續澆筑,養護后分層回填;預制結構安裝前做好構件復驗與裂縫鑒定。
③成品滲井(鋼波紋管、玻璃鋼、塑料):運輸吊裝中避免碰撞損壞;回填時沿井體分4~6個位置對稱回填,避免側壓不均造成井壁變形,實時觀測井體、接管變形。
④其他:隨時用經緯儀、鋼尺等觀測校正滲井垂直度,控制偏斜量;注意保護基底滲透層,避免堵塞污染;嚴密監測周圍建構筑物及管線沉降、變形,采取保護措施;進、出水管等附件安裝完成后須校準位置偏差。
(3)功能驗收:施工完畢后,應飽和注水觀測滲井進出水及整體下滲情況(滿足設計要求或大于地勘注水試驗均值),不得缺失。
4 結語與展望
Rainwater seepage well
雨水滲井作為我國海綿城市技術體系代表性措施之一,是一項涉及多專業協同的系統工程。針對各地實踐生搬硬套,缺乏研究支撐,建成后運行效率低、生命周期短、地質災害與污染頻發等問題,建設思路應由“單井設計”向“匯水區系統關聯設計”轉變、“地質適宜性”向“地質、環境長期適應性”轉變、“水量速滲”向“灰綠結合,水量水質調控并重”轉變,重視建設前匯水區評估與建成后運行效果、沉降變形等觀(監)測跟蹤。加強水專業與巖土、結構、材料等專業對話,關注不同水文地質條件下雨水滲井結構設計適宜性研究、滲井工藝參數基礎試驗與經濟高效抗衰減填料研發、雨水集中入滲回灌對地下水涵養及水環境、地質環境等長期影響模擬預測與風險評估等研究方向,持續改進雨水滲井設計、施工與維護方法。為科學推廣海綿城市雨洪控制與資源化理念夯實技術保障。
以上是小編收集整理的探討:海綿城市雨水滲井系統建設關鍵問題部分內容來自網絡,如有侵權請聯系刪除:153045535@qq.com;
本文地址:http://www.lxstny.com/shuichuli/965.html










