淺析真空系統中的幾種金屬材料
一 、不銹鋼
TEAM BUTLDING
1
不銹鋼概述
在真空技術中,不銹鋼是構造腔室或部件的優先材料。不銹鋼在法蘭連接處具有的足夠強度—即使在烘烤過程中也不會對其硬度造成影響。它可以進行焊接,以保證其真空密封,其表面已充分鈍化,從而為許多應用提供了足夠的保護。
下表列出了真空技術中常用不銹鋼的化學組成和性能。

注:依據EN100881第1部分、歐洲材料命名標準規定的不銹鋼化學成分(質量分數)

依據AISI(美國鋼鐵協會)、材料命名標準規定的不銹鋼化學成分(質量分數)


歐洲常用鋼號可與AISI(美國鋼鐵協會)類似材料名稱通用,如1.4301對應304、1.4307和1.4306對應304L、1.4404和1.4435對應316L以及1.4429對應316LN。不過,材料只是大約類似。真空應用的差異大多是非常微小的。然而,對于特殊要求,必須針對個別情況單獨評估通用性。示例:如果某個部件需要材料1.4301,一般必須有相關材料證書。如果證書只顯示材料304,則未滿足要求。此時,證書中的名稱很重要。如果滿足相應的材料規格,制造商也可證明半成品具有幾個名稱。例如,如果材料被證明為1.4301、1.4307、304和304L,用途則會更加多樣化。
為避免出現問題,例如在系統驗收過程中,在驗收半成品或部件時,必須預先明確規定材料及其證書的要求。后續證明通常是不可能的,特別是針對特殊要求:例如,由于特殊機械性能,根據AD2000W2(壓力容器工作組,2000時間表W2,“壓力容器的材料”)或ASME(美國機械工程師學會),在化學組成或證明中的限制。
2
不銹鋼型號
1)、不銹鋼1.4301:
最常用的鉻鎳鋼。優良的冷成型、焊接和拋光性。較強的的抗腐蝕性,適用于很多應用。適合于真空應用。例如,用于法蘭、管件和腔室。
2)、不銹鋼1.4305:
1.4301的變體,含硫,以改善機械加工性(易切削鋼)。耐腐蝕性低于1.4301。不可焊接。非常適用于真空應用。用于車床部件和銑削零件的一部分,如定心環。
3)、不銹鋼1.4307,1.4306:
1.4301的低碳變體。由于碳含量低,所以可焊接,而不易被晶間腐蝕。強度略低于1.4301。非常適合于真空應用。應用要求非常低的碳含量,例如,用于CF法蘭。1.4307逐漸取代1.4306,因為高含量的鉻和鎳帶來的利益與其如此高的購買成本不匹配。
4)、不銹鋼1.4401:
優良的冷成型性能。良好的焊接性和拋光性能。由于鉬添加劑,它比1.4301更耐非氧化酸和含氯離子的介質。非常適用于真空應用。例如,用于閥門外殼、用在要求更多防腐保護的區域或用于家庭飲用水系統。
5)不銹鋼1.4404:
1.4401的低碳變體。由于碳含量低,所以可焊接,而不易被晶間腐蝕。非常適合于真空應用。在要求具有非常低的碳含量或較高的耐腐蝕性時使用,例如,用于半導體行業中的管件和法蘭部件。
6)不銹鋼1.4435:
與1.4404相比,較高的鎳含量穩定了奧氏體結構,降低delta鐵素體的形成,因此即使在焊縫區域中,也幾乎沒有磁性。由于增添加了鉬添加劑,它比1.4404更耐非氧化酸和含氯離子的介質。非常適合于真空應用。經常用于制藥行業,同樣受巴塞爾標準2(BN2)的限制,該標準設定了更嚴格的分析限制并限定了允許的鐵素體含量。
7)不銹鋼1.4429:
特點類似于1.4435,但是,由于氮含量高,它的強度更大。這也穩定了奧氏體結構,從而最大限度地減少delta鐵素體的形成,從而減少磁化。非常適合于真空應用。用于CF法蘭,尤其是在高溫下發生針對清潔和消磁的真空退火時。1.4429在管和金屬薄板方面的可用性很低。因此,用于腔室和部件、由1.4429制成的法蘭通常與1.4404或1.4307制成的半成品結合。
8)不銹鋼1.4429ESR:
性能與1.4429相同,但由于ESR(電渣重熔法)處理,其微觀結構得到了改善并且具有較高的純度。非常適用于真空應用。它被用作一種優質的CF法蘭,表現出很大的強度和最小的可磁化性,并結合了較高的化學純度和結構的均一性。
9)不銹鋼1.4571:
經典的“V4A”鋼,具有高可用性。使用鈦穩定,因此可焊接,而不易被晶間腐蝕。性能類與1.4401類似,但是由于結構中的鈦碳化物,它僅可中度拋光而不適合于電拋光。非常適用于真空應用。例如,用于對耐腐蝕性有更高要求的管道和設備的構建。

奧氏體不銹鋼彈性模量的溫度依賴性

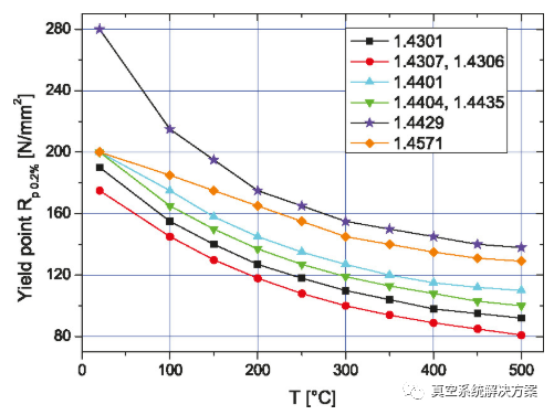
0.2%屈服點奧氏體不銹鋼的溫度依賴性
2
不銹鋼構成工藝
ESR(電渣重熔法):通過ESR工藝,在可控制、可重復的條件下生產具有較高化學和結構純度的低偏析致密不銹鋼。主熔體塊在ESR爐中進行電重熔。一電極在主塊上,另一反向電極在水冷坩堝的底部。熔渣位于兩極之間,由電阻加熱到不銹鋼熔化溫度以上。金屬液滴在與液態熔渣接觸時,可對上面的非金屬雜質進行清除,使其不斷從主塊底部釋放出來。當通過熔渣時,粗大雜質幾乎完全消失。剩下的是小雜質,幾乎均勻地分布在次級塊上。通過ESR工藝凈化的不銹鋼具有極高密度和同質性的特點。
奧氏體鋼具有良好的可焊性,并且是非磁性的全奧氏體。在退火狀態下,它們的特點是,即使在極低的溫度下仍保持非常高的韌性值。它們往往具有高加工硬化能力,特別是具有較高的碳含量。部分微觀結構可以轉化為變形馬氏體。全奧氏體鋼在焊接過程中易于產生熱裂紋。在許多奧氏體材料中,其化學成分往往被調整為將焊接金屬內的delta鐵素體含量提高至10%,這樣則減少了熱裂紋的形成。因此,許多稱為奧氏體的鋼可在其結構種包含鐵素體或馬氏體含量,這取決于它們的機械或熱處理方式。
可磁化性:全奧氏體微觀結構是沒有磁性的。通過先前描述的將微觀結構組成部分轉變為變形馬氏體或delta鐵素體,即使被指定為奧氏體的鋼也會變得略帶磁性。對于馬氏體和鐵素體,兩者都是可磁化的。通過溶液使冷加工硬化退火,從而使馬氏體減少,甚至逆轉。在微觀結構種,delta鐵素體的組成部分基本上取決于鐵素體形成元素鉻、鉬、硅和鈮與奧氏體形成元素鎳、碳、氮和錳之比。鐵素體含量部分可通過熱處理降低,從而降低可磁化性。由于具有相同材料名稱的不銹鋼可在所述限制內具有不同的化學組成,其可磁化性不是定量的。根據DeLong,通過繪制奧氏體形成元素鎳當量與鐵素體形成元素鉻當量的示意圖,可看出奧氏體和鐵素體含量。

在圖3.3中,對于某些不銹鋼,顯示了鉻和鎳當量區域(彩色矩形),并以圖標給出其平均當量。
穩定鋼含有鈦和鈮,二者吸附在焊接過程中排出的碳,從而防止碳化鉻的形成。碳化鉻的形成將導致晶界處的鉻減損,并可使該材料易受晶間腐蝕。對于焊接結構,應使用片材厚度大約為6mm或以上、低碳(C≤0.03%)或穩定的不銹鋼。碳化鉻嚴重限制了拋光性。
熱處理:對于奧氏體不銹鋼,固溶退火溫度大約為1,050°C。由于在600°C和800°C之間的溫度范圍內存在形成碳化鉻的風險,以及相比于晶間腐蝕造成的損害,因此必須快速通過900°C和500°C之間的溫度范圍。成品真空部件可在真空環境下,在950°C到1,100°C的溫度范圍內退火。當困在空間間隙中的氫脫氣(低氫退火)以及可磁化性減少(消磁退火)時,可使得表面的雜質特別是殘余的碳氫化合物(凈化退火)得以清除。此外,任何現有的碳化鉻溶解(固溶退火),以及因加工產生的材料應力消失(無應力退火)。然而,熱處理還會減少在機械上有利的硬化。使用金屬密封法蘭,退火時可導致切削領域中不期望的材料硬度減少。如果使用金屬密封件且密封件功能失效,則刀刃可能會發生斷裂。因此,我們建議法蘭材料1.4429ESR適用于退火處理。其硬度非常強,能夠確保刀刃足夠堅韌。
腐蝕:腐蝕取決于各種因素,因此,耐腐蝕性信息僅具有警示值,并適用于一般信息。它本應有利于不銹鋼的選擇,但并不能確保,因為它不容易適用于實際操作條件。例如,溫度和濃度的增加以及機械應力的增加和對表面的損壞,都會加速腐蝕。而且,氧氣的缺乏可防止氧化鉻鈍化層再生,因此缺乏防腐蝕保護。此外,雜質的出現也可加速腐蝕。實際上,最常出現的是氯離子和其它鹵離子引起的點蝕、縫隙腐蝕和應力裂紋腐蝕。因此,鈍化層局部破裂,且局部腐蝕繼續。尤其是薄壁部件,如金屬波紋管,最容易受到此類腐蝕。如有必要,應該通過測試確定使用壽命。此外,冷卻水對部件的危害不應低估。被水包圍的表面必須充分鈍化,且冷卻水必須能夠顯示出制造商指定的特點。

二、 碳鋼

TEAM BUTLDING
真空技術中使用的碳鋼,只要壓力低于10-5hPa,該壓力無需創建和保持,且無需防腐蝕保護。與不銹鋼相比,它是價格相對低的建筑材料,具有良好的可焊性,并且易于加工。然而,在使用這種類型的鋼時,必須考慮CO的連續出氣以及受空氣腐蝕的傾向。在大氣側,防腐蝕保護可以通過涂漆來提供,而在真空側,這可以通過鍍鎳來提供。對于容器的制造,必須慎重選擇所用的鋼種,特別是可焊性和氣密性方面。鍋爐制造方法只可在有限的程度上轉移到真空容器制造上。在標注尺寸時,外部氣壓造成的應力必須予以考慮,且焊接必須確保真空密封。此外,所使用的工具必須與加工不銹鋼所使用的工具嚴格分開,以避免污染不銹鋼。這對于儲存和運輸軟鋼和不銹鋼同樣適用。軟鋼通常用于法蘭連接的緊固件,其中表面往往被鍍鋅、鍍鎳或鍍鉻,以保護它們免受腐蝕。

三、鋁

TEAM BUTLDING
鋁主要用于低、高真空范圍,通常作為合金,特殊情況下,也作為純鋁使用。諸如ISO-KF管件之類的部件通常由鋁合金制成帶有重新加工的法蘭面。在選擇材料時,必須考慮收縮率和孔隙率。用于定心環和配套密封環時,部件由棒料制成。對于以密封墊或線型金屬密封件,退火的鋁硅合金是首選。
鋁的蒸氣壓很低,在熔點為660°C時僅為6·10-9hPa左右。熱膨脹系數大、導熱系數高以及氧化鋁層穩定使鋁難以焊接。有出現氣孔和裂縫的風險,非常容易扭曲變形。焊接前均勻加熱會降低這些風險。然而,實際上,這通常是不可能的。
鋁不可磁化。在有限的程度上,鋁法蘭連接僅可用于金屬密封的UHV連接,因為它們的硬度通常太低。雖然目前已經開發出了特殊的雙金屬法蘭,包括鋁底座和不銹鋼板,或具有堅韌密封面的鋁法蘭,但由于價格相對較高、加工性能存在一定風險以及應用性有限等,導致它們的應用并不成功。為了提高它們的抗磨損性,例如,用于潔凈室中,或為了增加防腐蝕保護,鋁表面往往作陽極化處理。這導致厚度增加幾個微米、且存在多孔氧化層,這在真空應用中適用性非常有限。氣體分子逐漸沉積在此類表面上,產生較高的解吸率。此外,表面區域的氣體分子可在密封件下形成通道,造成泄漏。有各種可用的陽極處理。在決定是否使用此類方法時,必須考慮局限性,并權衡利益。
以上是小編收集整理的淺析真空系統中的幾種金屬材料部分內容來自網絡,如有侵權請聯系刪除:153045535@qq.com;
本文地址:http://www.lxstny.com/gykqjh/4870.html










